Sin categoría
Magdalena sexto en la lista de los Departamentos que los financiadores de campaña recibieron contrato: MOE
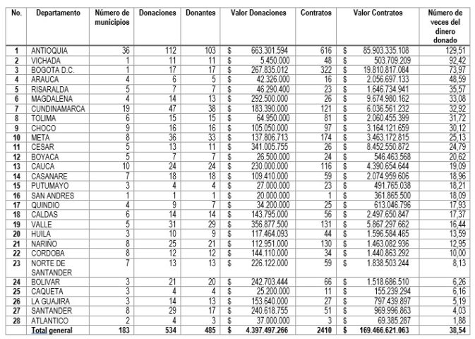
El nuevo informe de la Misión de Observación Electoral –MOE- reveló que 485 donantes a campañas electorales en 2015, que hicieron 534 aportes por 4.397’497.266, recibieron contratos públicos, en total, por 169.466’621.063, lo que sería un equivalente de 39 veces más que el dinero aportado a las campañas políticas.
La organización civil advirtió que, aunque este hecho no representa necesariamente delitos, en los municipios y departamentos identificados si habría una dinámica de contratación pública “bastante atípica e irregular” y que en la información entregada a la Fiscalía son muy comunes la contratación directa, la contratación hecha vía régimen especial y la contratación de mínima cuantía.
La MOE elaboró una tabla en la que muestra cuáles son los municipios que más adjudicaron recursos y sobre el número de veces que esos montos de donación están representados en los contratos. El Magdalena que ocupó el sexto lugar entre 28 departamentos, recibió 14 donaciones, por $ 292.500.000 de 13 donantes en 4 municipios. Posteriormente, a los financiadores les fueron otorgados un total de 26 contratos por $ 9.674.980.162, que significa 33,08 veces la donación.
Por otro lado, la investigación arrojó que el 85 % del monto total entregado en contratación pública fue adjudicado en los dos primeros años de gobiernos, lo que para la MOE significa que los mandatarios tienden a comprometer esos recursos de forma rápida a quienes financiaron las campañas.
La MOE también entregó información a la Fiscalía sobre las personas naturales o jurídicas que hicieron aporte por encima del 2 % del tope máximo de inversión en las campañas, lo que genera una inhabilidad para contratar con entidades públicas, pero que, igual, habrían contratado.
Alejandra Barrios, directora de la MOE agregó sobre ese asunto: “Estamos ante la posibilidad de ver de cerca la relación entre contratación y financiación de campañas, desde una metodología innovadora que podría servir a las autoridades para identificar cuándo la financiación de campañas busca empeñar la administración local a favor de redes de clientelismo y corrupción en los municipios”.


You must be logged in to post a comment Login